0 引言
近几十年来,随着风电技术的进步,单机容量越来越大,但由于风力机系统的控制非常复杂,要提高其控制性能,进行风力发电技术的研究,最理想的实验方法是将发电机与风机直接相连,但是这样的实验既耗时间又浪费金钱。所以针对实验室环境研究而言,往往需采用计算机仿真技术,对实际的风力机、风力发电机等进行仿真模拟,并不断修正改进控制策略,以提高风力发电机组实际环境下的运行性能。因此对风力发电机组进行模拟仿真研究,具有重要的现实意义。
目前,关于风力发电的实验室模拟系统,可以划分为直流电机模拟试验系统和交流电机模拟试验系统。在以交流电机作为原动机的模拟试验系统中,目前的模拟方法大都只能实现稳态模拟,即使有动态模拟的,也都是直接模拟气动转矩,让原动机输出转矩与风轮气动转矩相等。本文提出一种基于异步电动机直接转矩控制的风力机风轮动态模拟方法。这种模拟方法是通过模拟风力机风轮的加速度来达到模拟风力机的目的。采用该方法,模拟不同的风力机风轮不需要更换复杂的机械联动装置,直接更改软件参数就可以实现动态的模拟风力机风轮。
1 风力机和风速模型
1.1 风力机模型
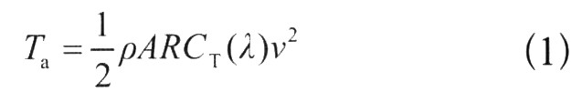
在现实实验中,风力机模型可用其
式中:Ta为风轮产生的气动转矩,N·m;p为空气密度,kg·m-3;A为桨叶扫掠的面积,m2;R是风轮半径,m;CT(λ)为风轮转矩系数;λ为叶尖速比;v为风速,m·s-1。
根据文献所述,风轮转矩系数随角速度的变化而变化且呈非线性关系。CT(λ)曲线的峰值为系统稳定和不稳定的分界点,在最大风能捕获时应考虑不要越过此点进入不稳定区域。
假设风轮的惯量为Ja,kg·m2;阻力系数为Da,kg·m2·s-2。转动角速度为ωawww.cechina.cn,rad·s-1。等效阻力矩为Tc,N·m;输出转矩为TL,N·m;则

1.2 风速模型
根据文献所述,风速由四部分组成,即基本风速,渐变风速,阵风和噪声风。其中基本风速用于描述特定风场的稳态能量,渐变风用于描述风场稳态能量随时间的缓慢变化过程,阵风和噪声风用于描述风场风能的扰动和不确定因素。在MATLAB/simulink中www.cechina.cn,由于白噪声与风速的相似性,故用下列方程来代表风速:

式中:vwind是模拟的风速;m(t)是白噪声;Tv=9sec是时间常数;a=10.5m/s时是基本风速。建立了风速发生器仿真模型,由风速发生器产生的随机风波形如图l所示。

2 设计方案及仿真研究
2.1 模拟思想
关于风力发电的实验室模拟系统,根据系统所具有的特性不同,又可划分为静态特性模拟系统和动态特性模拟系统。风力机的静态模拟离风力发电机的真实运行情况相差较大,不利于控制系统动态特性研究。目前,对风力发电机动态特性的模拟主要有两种方式:其一是通过附加硬件进行模拟;其二是通过计算机软件进行模拟。
采用附加硬件进行模拟的如采用附加飞轮的办法模拟风力机较大的惯性作用。但这种方法建立的一套硬件模拟系统仅能模拟一种型号的风机www.cechina.cn,缺乏灵活性。
采用软件进行动态模拟,主要是在根据风力机空气动力学特性产生原动机的转矩或者功率时,加入了转动惯量、摩擦系数、弹性等动态环节控制工程网版权所有,从而实现了对原动机响应的动态修正,进而使其模拟风力机的实际动态响应特性。对于塔影效应和风剪效应的模拟,通常是通过对模拟风速进行修正或对原动机指令转矩进行修正的方法实现的。本文所用的方法不是直接模拟其输出气动转矩,而是模拟其加速度。在模拟装置中用一台直接转矩控制的异步电动机作原动机,如果负载和风速不变,在实际风力机系统和模拟系统中,他们在相同的转速下具有相同的加速度,那么模拟系统就可以达到模拟风力机机械特性的目的。这就是本文提出的模拟思想。
在风力机系统中CONTROL ENGINEERING China版权所有,由式(2)可得

J为电机的转动惯量,kg·m2;np为极对数,TL为负载转矩,N·m;Te为电机电磁转矩,N·m;ωr为电角速度。

在模拟装置中,由检测到的电机转速,在给定的风力机特性曲线中查到风力机风轮在该风速和转速下的气动转矩Ta,代入式(7),计算出异步电机的指令电磁转矩。只要满足式(7),那么模拟系统的转速和加速度就与实际风力机系统中的一样。
2.2 控制实现方法
由式(7)知,要计算Te需知道Ta和TL,Ta可由转速查表得到,而总负载TL不能直接测得,只能采取间接检测的方法。t2时刻电机的电磁指令为:
由式(8)可知,只要测量电机的转速就可以得到电机的指令电磁转矩,不用另测总负载转矩。因此,在模拟系统和实际风力发电系统具有相同的风速、初始转速和负载的情况下,原动机与风力机就具有相同的速度和加速度。
2.3 风力发电系统仿真研究
建立风力发电系统模拟系统的仿真,仿真过程为带载启动,电机附加一定值的负载转矩,转


在线会议
论坛
专题
工控直播
新闻中心
子站
技术
社区




中控时间序列大模型TPT免费有奖体验
爱德克SE2L进阶版安全激光扫描仪有奖预约演示
剑维软件电子半导体行业白皮书有奖下载
魏德米勒麒麟系列产品赋能本土工业
Fluke 283 FC 智能万用表震撼来袭




























